Loan For Use Agreement Template

If you are looking for Loan For Use Agreement Template you have come to the right place. We have many more template about Loan For Use Agreement Template including template, printable, photos, wallpapers, and more. In these page, we also have variety of images available. Such as pdf, jpg, animated gifs, pic art, logo, black and white, transparent, etc.

40 Free Loan Agreement Templates Word Pdf ᐅ Template Lab

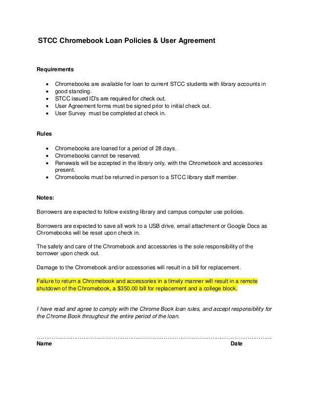
Chromebook Loan Policy2017 Docx

024 Free Simple Personal Loan Agreement Template Credit Car

16 Loan Agreement Templates Word Pdf Apple Pages

31 Sample Agreement Templates In Microsoft Word Hloom

Free Loan Agreement Create Download And Print Lawdepot

Contract Templates And Agreements With Free Samples

Stcc Chromebook Loan Policy

45 Loan Agreement Templates Samples Write Perfect

Free Family Loan Agreement Template Pdf Word Eforms

Download Personal Loan Agreement Template Pdf Rtf Word

Simple Business Loan Agreement Template

5 Free Loan Agreement Templates Word Excel Formats

Loan Agreement

Loan Agreement Template Free C Punkt


0 Response to "Loan For Use Agreement Template"

Post a Comment